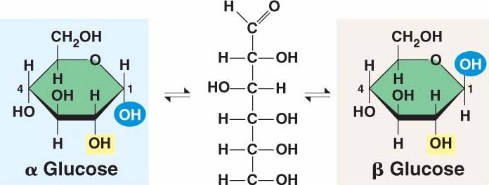
Glucose is a 6-carbon monosaccharide, or hexose.
When dissolved in water, it usually circularizes into a ring structure where the orientation of the hydroxyl groups on the 1 and 2 carbons result in α (alpha) and β (beta) structural isomers.
Models of Glucose: